Nitrocellulose Manufacturer & Supplier | Nitrocellulose For Sale
- Home
- Nitrocellulose Manufacturer & Supplier | Nitrocellulose For Sale
- Company Name
- Location
- : BÖRÜ INC.
- : Türkiye
If you need help and get more about our biotechnology products, please contact with our team.
What is Nitrocellulose?
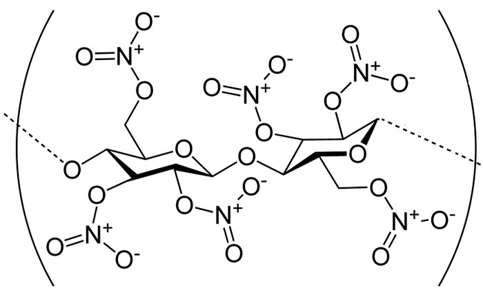
Nitrocellulose is made by treating cellulose with a mixture of sulfuric and nitric acid. Nitrocellulose also serves as the main ingredient in smokeless gunpowder. After the 1900s, its use increased. Nitrocellulose lacquer was used as a coating on guitars and saxophones for much of the twentieth century and is still used in some current applications. Paint produced by DuPont (among others) was also used on automobiles, sharing the same color codes as many guitars, including the Fender and Gibson brands. Nitrocellulose lacquer is also used as an aircraft numbing agent, painted onto fabric-covered aircraft to stretch the material and provide protection to the material. Its CAS number is 9004-70-0. Nitrocellulose is not usually used for film applications, but is more commonly part of multilayer film structures, especially those based on Cellophane™
If you are looking for a nitrocellulose manfuacturer and supplier and also nitrocellulose for sale, do not hesitate to contact us.

Nitrocellulose Uses
Nitrocellulose is a product that has found many uses in everyday life. Its physical form can vary widely, from white fibers to thin sheets and thick liquid. Nitrocellulose is used to make everything from smokeless gunpowder to waterproof wicks in pyrotechnics, in inks, adhesives, varnishes, resins, lacquer coatings, microscopy, photography, electrotechnics, galvanoplastics and even some plastics such as those used in ping. It can be a white, yellow or transparent plastic that can be anywhere from brittle to ultra-flexible. It can have properties ranging from a strong, resilient plastic to an unstable class B (highly flammable, explosive when sealed) explosive material, all determined by its nitrogen content. Other current uses include the construction of membranes used to immobilize DNA, RNA or protein that can then be examined with a labeled array or antibody (Western blot assays), microscopy embedding, electrotechniques, skin protectors, microfilters and others. Nitrocellulose continues to be used in photography, in the manufacture of lacquers, patent and natural leathers, artificial pearls, engraving, and cements.

Nitrocellulose Manufacturer
Why choose us for Nitrocellulose?
- Biotechnology Laboratory
- Experience
- High Quality
- Right on Time
Nitrocellulose History
Nitrocellulose was detected in tissue samples collected from adult fish living near streams containing nitrocellulose, but there was no bioaugmentation of nitrocellulose by aquatic species. The release of nitrocellulose in aquatic environments appears to have influenced the physical and chemical properties of habitats. The change in habitats is critical as nitrocellulose has low toxicity in itself.
One report discussed the water quality of wastewater discharge from nitrocellulose production. The results showed detectable levels of nitrocellulose in the waters (1 to 12.1 ppm) and sediments (17.8 to 296 ppm) of streams and ponds receiving the waste discharges. Several main parameters of water quality of aquatic systems and sediments were significantly affected. However, these negative impacts may be due to habitat changes and not only to nitrocellulose. Another report from the Radford Artillery Ammunition Plant showed that wastewater discharge from the nitrocellulose production facility brought suspended dissolved solids to a high level due to nitrocellulose. Both reports suggested that nitrocellulose fibers could physically bring permanent habitat change, especially to the benthic community.